新的一年到来了,留学生们不要松懈了!
是时候规划一下自己2020年的学习计划了!
无论是TOEFL、IELTS、GRE还是SAT、ACT、AP
都可以着手准备了!
赶紧立下flag吧!

胡老师为大家整理了一份 2020年出国留学的考试日历 , 有需要的可以收藏起来啦!
一、雅思

2019年10月29日,英国文化教育协会(雅思考试主办方)宣布,用于英国签证及移民的雅思考试(IELTS for UKVI)学术类机考10月19日及之后所有场次,成绩公布时间将由考试结束后13天缩短为5至7天,考后一周内即可拿到成绩。
二、托福
ETS官网通知,2020年托福网考报名已经于2019年10月23日上午10点正式开始。具体考试安排如下图所示:

虽然ETS是放一整年的考位出来,官网也会分批将考位逐渐放出,不会一次都放完。ETS会根据各地的考试及考场安排情况,举行加考或加场。
此次托福考试的形式以及政策进行了很大的调整。包括考试内容及考试时长、MyBest Score的引入、出分时间的缩短等。与以往对比,调整大概如下图所示:
和雅思一样,本次托福考试的成绩也会很快就会出来,不会拖得太久。
三、GRE
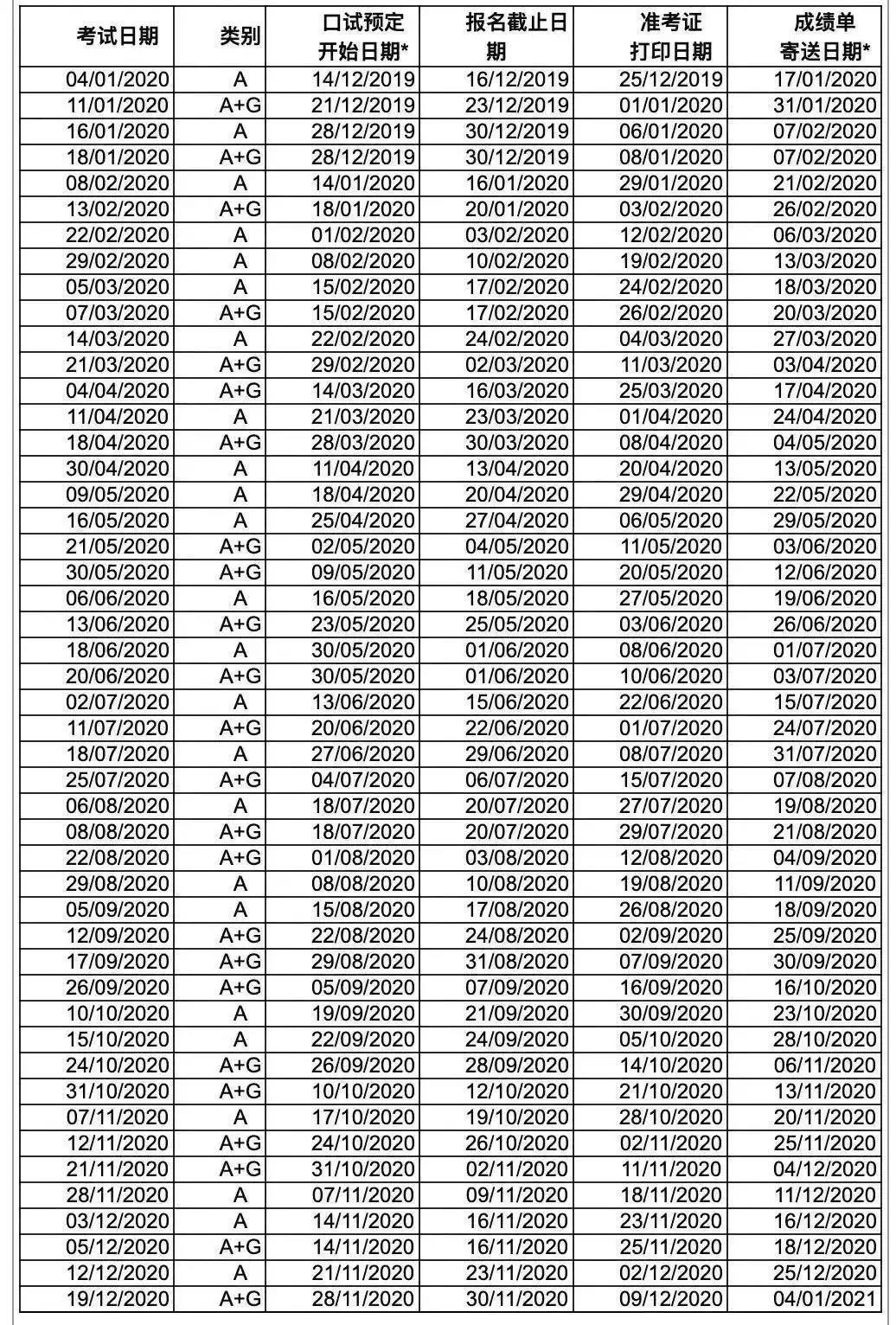
ETS继发布了TOEFL考位后,从2019年10月23日起也开放2020年中国GRE考试报名,2020年GRE考试总计31场。具体安排如下图所示:

需要注意的是:GMAT的考试时间与考点安排有关,并没有一个特别统一的时间安排,考GMAT的同学们需要到GMAT的官网去根据自己附近的考点来进行查找。
四、SAT
College Boar官网已经公布了2020年上半年SAT考试时间。具体安排如下所示:
北美考场



亚太考场

五、ACT

六、AP
2020年5月AP考试报名及缴费时间安排如下

2020年AP延迟考试时间表

【托福或雅思】适用国家及分数要求
英联邦国家及地区
该地区主要以 英国、澳大利亚、新西兰 为代表。英国留学是承认雅思和托福成绩的,雅思一般要求在6.5分以上,托福要求80分以上。除此之外,学商科的学生还需要参加GMAT考试,至少也要考到600-650分左右。
澳大利亚和新西兰的基本情况与英国相似,也都是承认这两者语言考试,且学商科专业的学生,还需要考GMAT。
英文授课地区及国家
主要以 中国香港、新加坡 为代表。去中国香港留学语言考试是雅思,要求申请者雅思在6.0左右,不同院校的申请要求也不同,具体可咨询OM君。注意若是没有高考成绩,则可考SAT。
去新加坡留学的话,除了雅思考试,还有AEIS、A水准和O水准考试。AEIS考试主要是就读新加坡政府中学的考试,且考试时间在每年的9月或者10月。
而2020年A水准考试时间暂时还没出来,往年是6月初至12月初,成绩有效期是2年。另外O水准考试的难度有点大,往年的考试时间是在6月初至11月之间。
北美地区
北美地区主要以 美国和加拿大 作为代表。美国是托福和雅思成绩都承认的,当然最好是提供托福成绩。如果想要申请排名好一些的大学,托福成绩至少要在80分以上。
除了语言成绩之外,去美国留学还需要参加SAT考试或者ACT考试。两者的考试相当于国内的高考,注意SAT考试每年有7次,但是大陆没有考点,需要去中国香港或者新加坡参加考试。
还有想申请美国读研的学生还需GRE成绩,另外个别专业还要需要参加其他的考试,比如说商科需要考GMAT,法学专业要考LAST。
加拿大的语言考试也是托福或者雅思,而且想读商科类专业的硕士,还需要考GMAT,另外GMAT需要在550-600分左右。
GMAT在北上广都设有考点,每周一至周五都会举办考试;其它城市则在每月3日后的特定日期举办考试,且每个考生可以每16天参加一次,当然不是没有次数限制,考生在连续的12个月只能参加5次数。
看看这么多考试,就知道出国留学难度不容小觑,大家一定要早准备,早做规划!