- 网站域名升级
如今教育部考试中心雅思考试报名网站域名将变动为: ielts.neea.cn ( 互联网技术 ) 和 ielts.neea.eu.cn( 教育信息网 )
- 考试费提升
雅思考试费 ( 价税合计额度 ) : 2,170 元rmb 用于英国签证及移民的雅思考试费(价税合计额度): 2,220 元rmb
- 查分時间减少
用于英国签证及移民的雅思考试( IELTS for UKVI )学术类无纸化考试的考试成绩发布時间由考题完毕后 13 天减少为 5 至 7 天,该转变适用于 10 月 19 日及以后的全部考题场数,学生可快速查询考试成绩。
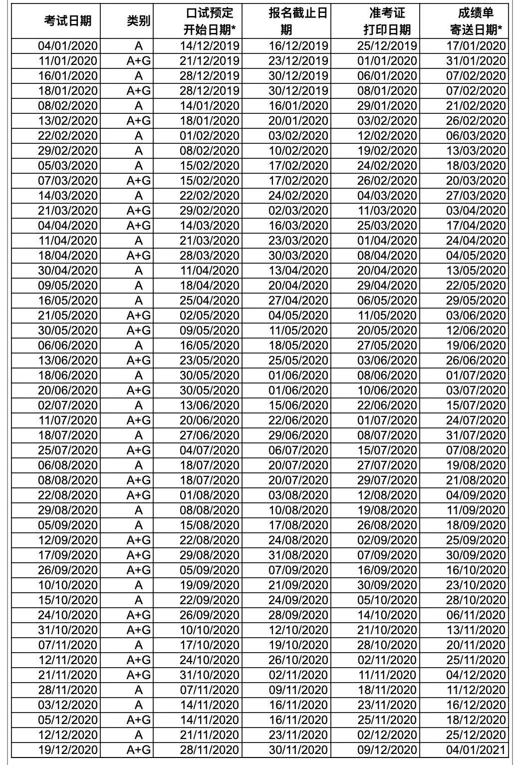
2020 年用于英国签证及移民的雅思考试口试预订刚开始时间、 考试网上报名截止期、打印准考证时间和成绩表邮递时间

2020 年雅思考试报名截止期、打印准考证时间和成绩表邮递时间
