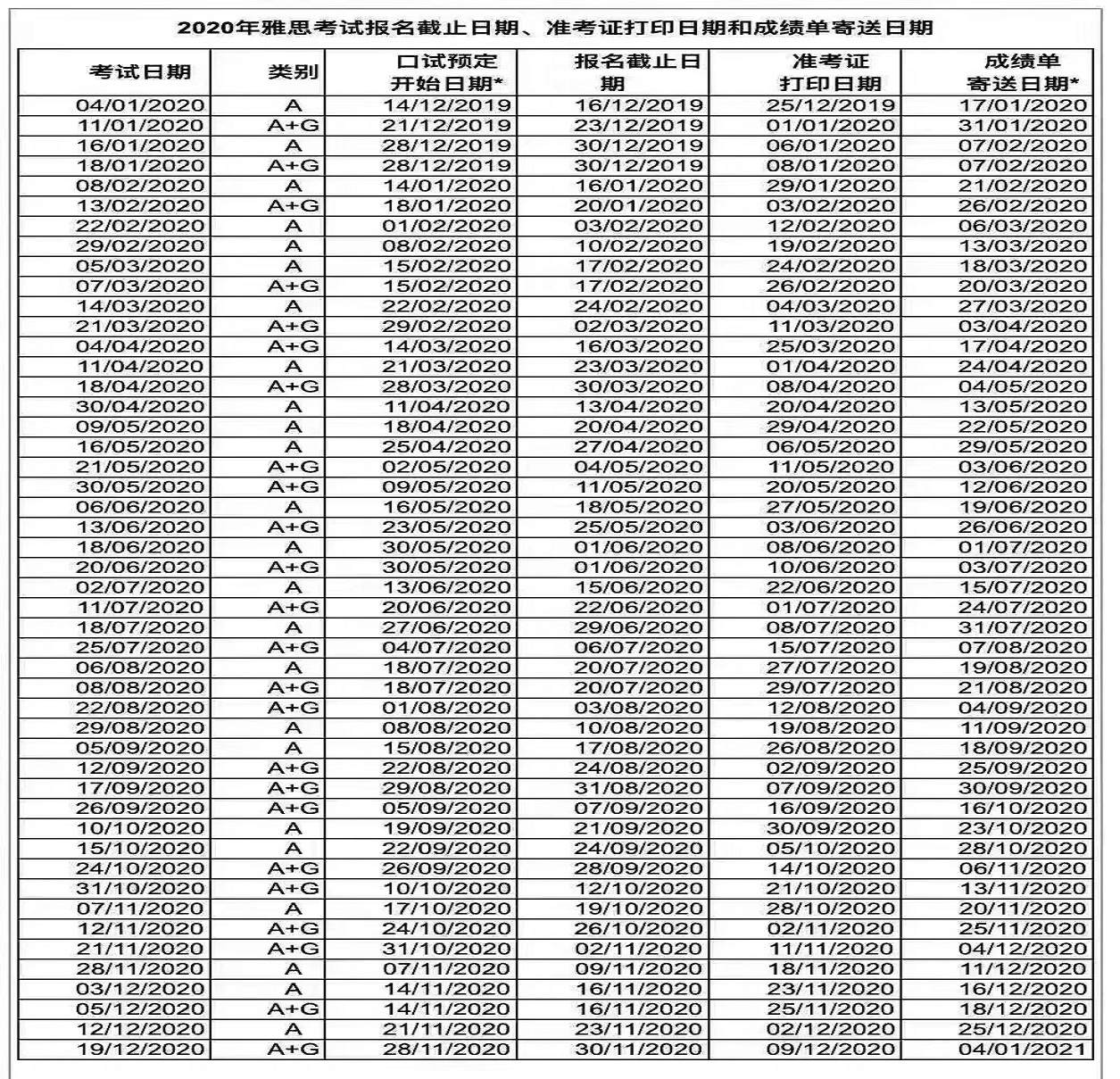
2020 年雅思考试时间安排
雅思考试是英国留学的同学们必过的一道关卡。多少成绩优异的学霸都还在为雅思考试而苦恼。备考的过程中,同学们一定要注意的是考试时间的确定。如果不确定自己是否能够考出来合格雅思的话,一定要在配读语言课之前考出合适的雅思分数来。以下是 2020 年雅思考试的时间:
雅思(英语: IELTS ,发音为 /ˈaɪ.ɛlts/ ),全称为国际英语测试系统( International English Language Testing System ),是著名的国际性英语标准化水平测试之一。
IELTS 于 1989 年设立,由英国文化协会、剑桥大学考试委员会和澳大利亚教育国际开发署( IDP )共同举办, 其中剑桥大学负责有关学术水平及试题内容,而 IDP 及英国文化协会负责于世界各地定期举办考试。考生可以选择学术类测试( A 类, Acaemic )和培训类测试( G 类, General Training )。
雅思成绩被英国、爱尔兰以及澳大利亚、加拿大、新西兰、南非等英联邦的教育机构,以及越来越多的美国教育机构及各种各样的专业组织接受。雅思考试成绩的有效期限为两年。

同学么雅思备考过程中一定要注意时间的安排。