GPA的前世
在中国,我们通常采用百分制的算法给出GPA的值。中国普通中小学一般没有GPA,但是各高等院校从1999年起开始采用GPA衡量在校学生成绩,并由教育部做出相关规定。高校的GPA一般在最终成绩单,尤其是中英文成绩单上出现。在学校官方的记录系统里面也可以查到该生的GPA。此外就是国内的国际学校,也会根据自己的教育体系,给出相对应的GPA算法。
GPA的今生
美国的众多院校,则大都采用四分制的GPA来评估学生的学术能力,即A=4,B=3,C=2, D=1。而一些高级课程,如荣誉课程,AP课程等,单科GPA满分可达5分。相对这个“今生”GPA,其表示的精确度往往达到小数点后1到2位,如:3.0,3.45。
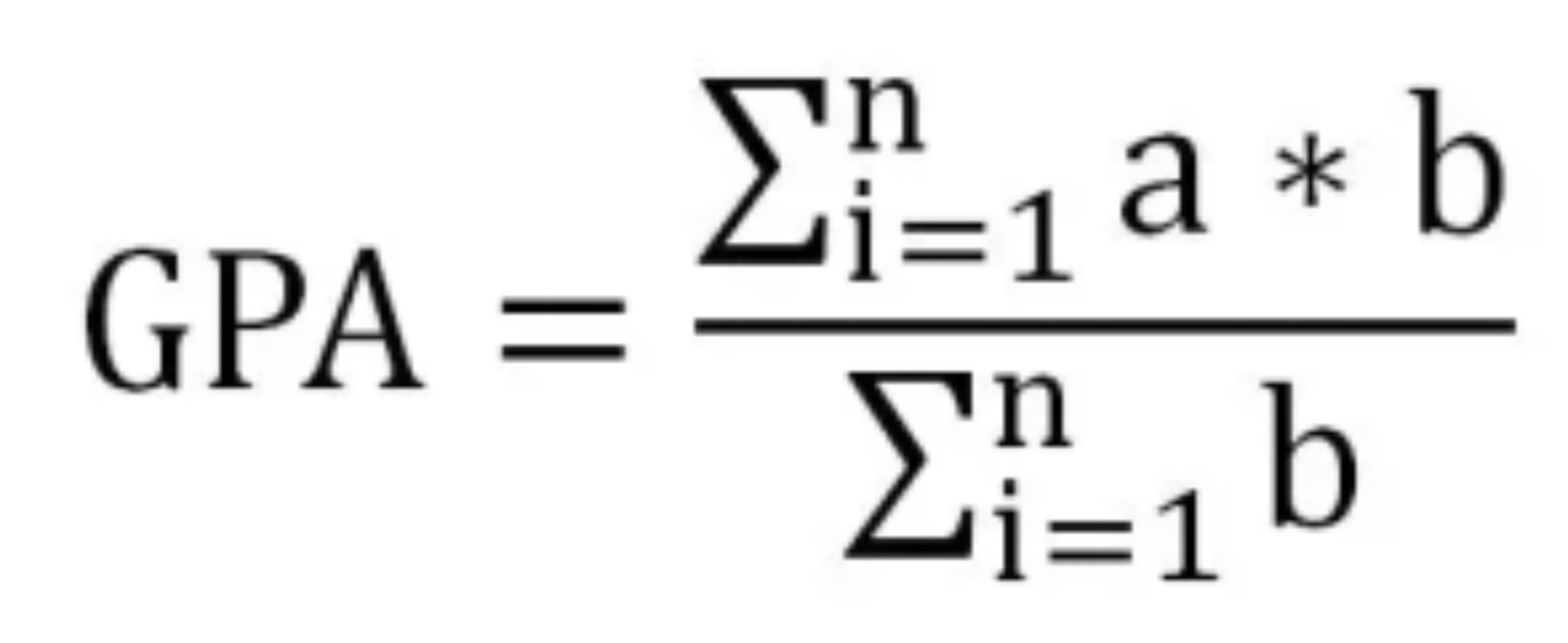
以下是百分制标准GPA的计算公式:
其中,a表示你的每门课程的具体得分(百分制),b表示a课程所对应的学分数值,n表示课程的数量。
利用上述公式计算出来的GPA,是百分制的标准GPA,如果要换算成美国大学普遍认可的四分制的GPA,只需要把这个GPA的值与4相乘,在除以100即可得出。通过这样的换算办法,我们就能简单的得出一个美式的标准GPA,并获得大体如下的初步对应结论:对于四分制,百分制中的90分及以上可视为绩点中的4分,80分以上为3分,70分以上为2分,60分以上为1分。至于国内部分高校采用的五分制GPA,如果你懒得先去对应成百分制的成绩,大体可以认为5分为美式四分制中的4分,4分为3分,3分为2分,2分为1分。

由于美国大学四分制GPA采用的是范围式,而不是一一对应式的表示方式来匹配你的GPA等级(用A、B、C、D来评级),这就导致了用标准GPA计算公式得出的百分制GPA换算成四分制GPA时,数值往往偏高。更为重要的是,美国各个大学对于GPA的评级标准也不太一致,导致你的成绩单在不同的美国大学进行评估,最终的结论也会不同。为了便于同学们理解,我将美式四分制GPA的计算步骤详述如下:
1) 首先,需要把国内的百分制转换成美国的等级制,如下:

2) 再将美国的学业等级制转换成对应的四分制数值(这一步是关键中的关键!),如下:
3) 将经过等级换算后对应的每门课程的分值,套用GPA的计算公式,即可获得美式范围式GPA的值,比如: 为什么说这一步是关键?因为各个美国大学在分值对应上是不统一的。上表给出的是较为常见的对应关系,一般等级间的数值差距是 0.3,就是这0.3的分值差距,使得这种范围式算法的GPA与标准算法转换过来的GPA有差异。当范围式算法设定的分值差距越小,计算出来的结果与标准算法越接近,换句话说,标准GPA计算出来的值,是范围式GPA的极高值,可作为GPA评估的上限。
上述方法计算出来的 GPA通常偏低,可以 作为 美国各大高校评估你的GPA的最低值参考 。结合标准GPA计算公式算出来的极高值,我们就可以获得一个GPA评估的区间。这个区间的最大意义在于让你可以清楚的知道自己GPA档次的高低,也可以据此评估申请具体美国院校在GPA要求上是否满足条件。
注意:中国学校绩点分数的算法不尽相同,以上转换的方式作为参考,最终以学校评分标准为准哦!