托福
雅思





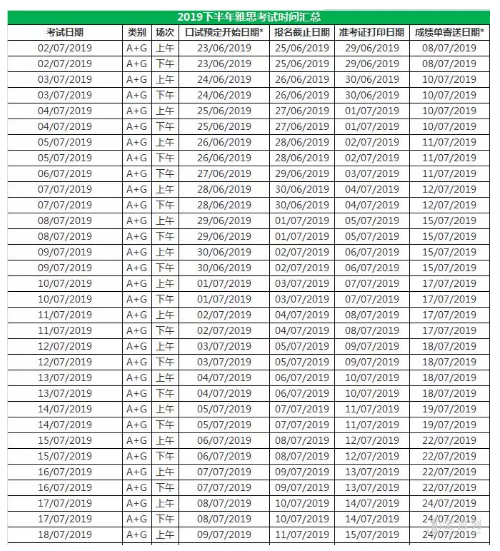
2019年7月到10月雅思考试机考报名截止日期、准考证打印日期和成绩单寄送日期
GRE

GMAT

需要提醒GMAT考试时间跟考点具体安排有关,一般靠前5-6个月公示考试时间安排和座位情况。建议考生自行查找。具体操作步骤如下:
第一步: 打开GMAT官网:http://www.mba.com/us,在首页选择"注册GMAT考试"
第二步: 在网页中选择“寻找考试中心”
第三步: 在搜索栏中输入你想去的考点的英文,如"Beijing, China",点击"Search"
第四步: 在搜索出的结果中选择自己想去的考点,最多可选三个,点击右侧的"NEXT"
第五步: 在右侧时间栏选择自己想报考的月份和日期,绿色为仍有考位的日期,点击后可查看是上午还是下午有考位。