未来一年的雅思报考信息都在这里了
首页 > 顾问主页 > 未来一年的雅思报考信息都在这里了

季永杰

未来一年的雅思报考信息都在这里了

2019-07-01...

阅读:88 收藏:0 评论:0 点赞:0

3秒免费留学费用评估

提前算一算,出国留学要花多少钱?

获取验证码

开始计算

 

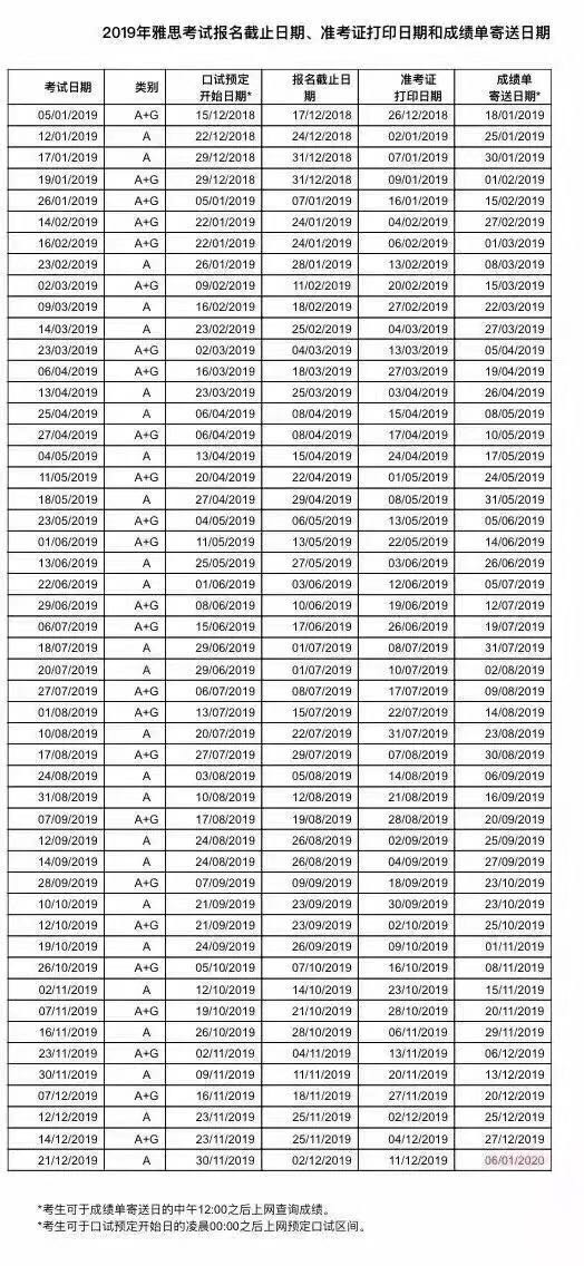
【温馨提示:雅思考位】
2019-2020全年考位已经出了,
请准备好及时报考。
提前找梁老师规划考试时间和留学方案,
烤鸭一族,加油啊!

 

 

如果此文章对您有所帮助,是对我们最大的鼓励。对此文章以及任何留学相关问题有什么疑问可以点击下侧咨询栏询问专业的留学顾问,愿金吉列留学成为您首选咨询服务机构。
分享到
去主页浏览TA的更多精彩内容 >>
上一篇文章: 哪些美国大学接受托福拼分申请
下一篇文章: 美国AP课程 VS IB课程大解析
相关推荐
免费领取留学手册
获取验证码
我已阅读并同意《隐私保护协议》
申请领取
温馨提示
我已阅读并同意《隐私保护协议》
确定
温馨提示
确定